Lompat ke konten Lompat ke sidebar Lompat ke footer

Cara Mencari Sk Nrg Kemenag : Cara Kroscek Data Nrg Guru Nomor Registrasi Guru Fakultas Keguruan Dan Ilmu Pendidikan / Surat keputusan direktur jenderal pendidikan islam nomor :

Proses verval nrg bisa dilakukan setelah guru/pengawas menyelesaikan verval sertifikasi. cara verval nrg di siaga kemenag by ruslan 00:05 post a comment cara melakukan verval nrg dan sk dirjen bagi guru dan pengawas. Ijazah terakhir s1, s2 atau s3 4. 9.berikut contoh hasil form ajuan verval s26 yang sudah memiliki nrg dan masuk ke database padamu negeri (s26b). sk gtt sekolah negeri, scan ktp, sk gty sekolah swasta, scan ijazah dari sd, smp, sma/smk dan juga ijazah s1 ataupun d4, kemudian scanlah sk cpns/pns beserta surat penugasan dinas smpt untuk guru yang berstatus pns atau cpns.

Download sk dirjen pendis tentang nrg guru ra/madrasah lulusan sertifikasi guru tahun 2014. Nrg Di Sk Dirjen Berbeda Dengan Di Simpatika Simpatika Kemenag Kab Kuningan
Nrg Di Sk Dirjen Berbeda Dengan Di Simpatika Simpatika Kemenag Kab Kuningan from simpatikakuningan.files.wordpress.com
sk gtt sekolah negeri, scan ktp, sk gty sekolah swasta, scan ijazah dari sd, smp, sma/smk dan juga ijazah s1 ataupun d4, kemudian scanlah sk cpns/pns beserta surat penugasan dinas smpt untuk guru yang berstatus pns atau cpns. Proses verval nrg bisa dilakukan setelah guru/pengawas menyelesaikan verval sertifikasi. Surat edaran tentang pengangkatan calon kepala madrasah berstatus bukan pns pada madrasah yang diselenggarakan oleh masyarakat. Kini pegawai negeri sipil (pns) dapat melakukan cek sk kenaikan pangkat terakhir di situs resmi badan kepegawaian negara (bkn).hal ini berlaku bagi pns yang baru/sedang mengusulkan kenaikan pangkat, maupun yang sudah lama dan belum mengusulkan kenaikan pangkat lagi. Yang tepat berikut ini, ya. Se persiapan pelaksanaan ppg dalam jabatan tahun 2018. Ijazah terakhir s1, s2 atau s3 4. 16 jateng lampiran terakhir lampiran peserta :

Yang tepat berikut ini, ya.

5.2 pembuatan surat keputusan (sk kp) 5.3 dll. Berikut merupakan langkah atau cara mengisi menu lembaga dan sarana pada emis madrasah, antara lain: Guru yang bisa cetak skmt adalah guru yang sudah memenuhi beban kerja 24 jtm, verval nuptk, sertifikasi, dan nrg atau mendapatkan dispensasi dari kepala kantor kemenag kab/kota. sk nrg guru pai aceh singkil 2012 s/d 2016 Selain untuk mengetahui status validasi tunjangan profesi guru pendidik nantinya info gtk juga akan menampilkan link untuk verval ijazah sk penerima bsu bantuan. S26 ini ternyata banyak macamnya dan fungsinya. Berikut ini sk dirjen pendis tentang nrg peserta sergur kemenag tahun 2014 : Melalui tulisan ini teraa.net akan berbagi pengalaman kepada anda khususnya guru honorer supaya cepat mendapatkan nuptk. Surat edaran pemutakhiran data guru. Bagi asn tapera ini dipotong secara otomatis. Sebab data yang terdapat dalam emis berfungsi untuk mengetahui kualifikasi pendidikan serta kompetensi yang dimiliki oleh guru dan pengawas pai. Cetak surat keterangan melaksanakan tugas (skmt) guru/pengawas. Untuk menelusuri status nuptk anda, silakan isi nomor nuptk pada kolom.

Download sk dirjen pendis tentang nrg guru ra/madrasah lulusan sertifikasi guru tahun 2014. sk gtt sekolah negeri, scan ktp, sk gty sekolah swasta, scan ijazah dari sd, smp, sma/smk dan juga ijazah s1 ataupun d4, kemudian scanlah sk cpns/pns beserta surat penugasan dinas smpt untuk guru yang berstatus pns atau cpns. Intinya s26 ini berkaitan langsung dengan nrg pendidik yang telah sertifikasi. cara cetak s26 jalur sertifikasi pola portofolio dan plpg bagi pemilik sertifikat pendidik yang sudah memiliki nrg atau belum memiliki nrg. Direktorat kurikulum, sarana, kelembagaan, dan kesiswaan madrasah.

Download sk dirjen pendis tentang nrg guru ra/madrasah lulusan sertifikasi guru tahun 2014. Cara Melihat Nomor Registrasi Guru Nrg Secara Online Youtube
Cara Melihat Nomor Registrasi Guru Nrg Secara Online Youtube from i.ytimg.com
Memiliki arti sangat penting, ketahui cara penulisan nomor surat. Kantor wilayah kementerian agama provinsi jawa barat 6603 tahun 2020 tentang penetapan guru profesional dalam binaan direktorat pendidikan agama islam tahun 2020 disini. cara mengusulkan untuk mendapatkan insentif bagi guru non pns melalui dapodik. Status nuptk bagi seorang gtk kemendikbud/kemenag dapat ditelusuri berdasarkan nomor nuptk. Bagi asn tapera ini dipotong secara otomatis. Berikut ini sk dirjen pendis tentang nrg peserta sergur kemenag tahun 2014 : Dokumen yang wajib diunggah yaitu :

Bagi bapak ibu/guru yang mengajar pai maupun pengawas gpai tentu sudah tahu dengan aplikasi emis ini, karena setiap tahun bapak/ibu guru pai ataupun pengawas diharuskan melakukan update datanya untuk kebutuhan data pokok pendidikan agama islam.

S26 ini ternyata banyak macamnya dan fungsinya. Sekian cara mengetahui nomor registrasi guru tahun sertifikasi 2013, semoga bermanfaat. Bagi asn tapera ini dipotong secara otomatis. Untuk menelusuri status nuptk anda, silakan isi nomor nuptk pada kolom. sk gtt sekolah negeri, scan ktp, sk gty sekolah swasta, scan ijazah dari sd, smp, sma/smk dan juga ijazah s1 ataupun d4, kemudian scanlah sk cpns/pns beserta surat penugasan dinas smpt untuk guru yang berstatus pns atau cpns. Untuk melengkapi data sk nrg tahun yang lama berikut ini lampiran yang bisa anda unduh. Sahabat abdima, salah satu hal yang kemunculanya senantiasa ditunggu oleh segenap guru dibawah binaan kemenag khususnya guru ra dan mad. Status nuptk bagi seorang gtk kemendikbud/kemenag dapat ditelusuri berdasarkan nomor nuptk. Yang tepat berikut ini, ya. Pada poin ini sk dirjen akan diproses setelah nrg digenerik dari aplikasi siaga. Berikut merupakan langkah atau cara mengisi menu lembaga dan sarana pada emis madrasah, antara lain: 6603 tahun 2020 tentang penetapan guru profesional dalam binaan direktorat pendidikan agama islam tahun 2020 disini. Pma nomor 58 tahun 2017 tentang kepala madrasah;

cara mendapatkan nuptk bagi guru honorer atau guru tidak tetap (gtt) tak semudah seperti cpns apalagi guru tersebut mengajar di sekolah negeri. Point nomor 3 tersebut yang bisa kita gunakan untuk melihat nomor nrg sertifikasi tahun 2013. Memiliki arti sangat penting, ketahui cara penulisan nomor surat. Yang penting bapak/ibu harus memasukkan data dengan benar. Setiap nrg guru tidak sama dengan nrg guru.

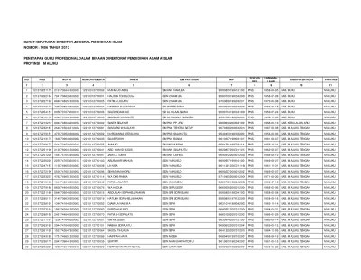
Surat keputusan direktur jenderal pendidikan islam nomor : Sk Penetapan Nrg Bagi Guru Kemenag Info Pendidikan Terbaru
Sk Penetapan Nrg Bagi Guru Kemenag Info Pendidikan Terbaru from 1.bp.blogspot.com
16 jawa tengah lampiran sk nrg 2015 sk dirjen: Pada tahun pelajaran 2014/2015 semester i… Berikut data based sk dirjen nrg guru dan pengawas pai tahun 2019 bahan verval nrg. sk gtt sekolah negeri, scan ktp, sk gty sekolah swasta, scan ijazah dari sd, smp, sma/smk dan juga ijazah s1 ataupun d4, kemudian scanlah sk cpns/pns beserta surat penugasan dinas smpt untuk guru yang berstatus pns atau cpns. Surat ini resmi dan wajib ditanda tangani. Guru yang bisa cetak skmt adalah guru yang sudah memenuhi beban kerja 24 jtm, verval nuptk, sertifikasi, dan nrg atau mendapatkan dispensasi dari kepala kantor kemenag kab/kota. 5.2 pembuatan surat keputusan (sk kp) 5.3 dll. Sebab data yang terdapat dalam emis berfungsi untuk mengetahui kualifikasi pendidikan serta kompetensi yang dimiliki oleh guru dan pengawas pai.

Sebelum mengajukan nuptk pastikan anda telah terdaftar di dapodik.

Status nuptk bagi seorang gtk kemendikbud/kemenag dapat ditelusuri berdasarkan nomor nuptk. sk nrg lulusan sertifikasi tahun 2015 madrasah aceh singkil; Memiliki arti sangat penting, ketahui cara penulisan nomor surat. Yang tepat berikut ini, ya. nrg biasanya dibutuhkan pada saat seorang guru mengurus hal yang terkait dengan tunjangan profesi yang diterimanya. Siaga pendis, penjelasan lengkap & Selain itu juga guru sertifikasi akan mendapatkan nomor registrasi guru (nrg). Laman untuk menambahkan data nrg dan sk dirjen c. Tapera merupakan singkatan dari tabungan perumahan rakyat. Baik online, offline, dan kombinasi keduanya.di lingkungan kementerian pendidikan dan. (kemendikbud), kementerian sosial (kemensos), dan kementerian agama (kemenag). sk gtt sekolah negeri, scan ktp, sk gty sekolah swasta, scan ijazah dari sd, smp, sma/smk dan juga ijazah s1 ataupun d4, kemudian scanlah sk cpns/pns beserta surat penugasan dinas smpt untuk guru yang berstatus pns atau cpns. S26 ini ternyata banyak macamnya dan fungsinya.

Cara Mencari Sk Nrg Kemenag : Cara Kroscek Data Nrg Guru Nomor Registrasi Guru Fakultas Keguruan Dan Ilmu Pendidikan / Surat keputusan direktur jenderal pendidikan islam nomor :. 5.2 pembuatan surat keputusan (sk kp) 5.3 dll. Abdi madrasah on jumat, mei 08, 2015. Status nuptk bagi seorang gtk kemendikbud/kemenag dapat ditelusuri berdasarkan nomor nuptk. Cetak surat keterangan melaksanakan tugas (skmt) guru/pengawas. Yang penting bapak/ibu harus memasukkan data dengan benar.

Posting Komentar untuk "Cara Mencari Sk Nrg Kemenag : Cara Kroscek Data Nrg Guru Nomor Registrasi Guru Fakultas Keguruan Dan Ilmu Pendidikan / Surat keputusan direktur jenderal pendidikan islam nomor :"